| Sign In | Join Free | My himfr.com |
|
| Ask Lasest Price | |
| Brand Name : | Electrical Wire |
| Model Number : | BV BVR |
| Certification : | CCC,IEC,VDE,TUV,ISO |
| Price : | Negotiable |
| Payment Terms : | L/C,T/T |
| Supply Ability : | 1000KM/Week |
| Delivery Time : | 7-30 days based on different Qty |
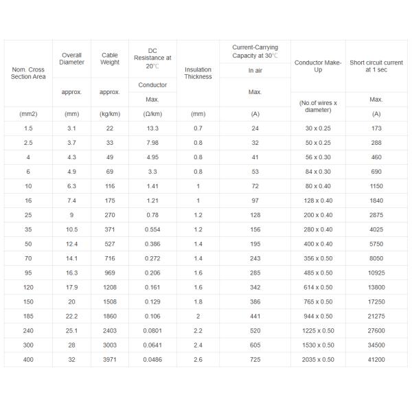
NYAF Cable Electrical Wire for Electrical Panel Flexible Copper PVC Insulation Wire






1.What is NYAF cable?
NYAF is a flexible electrical cable with fine-stranded copper
conductors and PVC insulation, designed for indoor installations
requiring high flexibility.
2. What does NYAF stand for?
NYAF represents the cable's construction: N-PVC insulated,
Y-polyethylene sheath (if applicable), A-armored (if armored), and
F-flexible fine-stranded conductor.
3. How does NYAF differ from NYA cable?
NYA is a single-core rigid cable, while NYAF has a multi-stranded
flexible conductor, making it easier to install in tight spaces.
4. Is NYAF suitable for outdoor use?
No, it is designed for indoor installations only. For outdoor use,
consider UV-resistant cables like NYAFY.
5. What temperature can NYAF withstand?
The PVC insulation supports continuous operation at 70°C (158°F).
6. Can NYAF be used for motor wiring?
Yes, for static motors or control panels. For moving parts, use
flexible motor cables (e.g., NYM-J).
7. Does NYAF meet international standards?
Confirm with the manufacturer, but it generally complies with IEC
60227 and EN 50525 for PVC-insulated cables.
|